উচ্চ-মানের বেটাডেক্স সালফোবুটিয়েল ইথার সোডিয়াম (এসবিই- β- সিডি)-ফার্মা গ্রেড সাইক্লোডেক্সট্রিন এক্সিপিয়েন্ট-সিএএস 182410-00-0। দ্রবণীয়তা, স্থায়িত্ব এবং জৈব উপলভ্যতা উন্নত করে।
	 
 
	
বেটাডেক্স সালফোবুটিয়েল ইথার সোডিয়াম (এসবিই- β- সিডি)-ফার্মা গ্রেড সাইক্লোডেক্সট্রিন এক্সিপিয়েন্ট-সিএএস 182410-00-0
	
উপস্থিতি: সাদা গুঁড়ো, মিষ্টি, নির্লজ্জ এবং নিরীহ
	
বালুচর জীবন: 36 মাস
	
গ্রেড: ইনজেকশন গ্রেড
	
আবেদন: ফার্মাসিউটিক্যালস ফিল্ড
	
স্ট্যান্ডার্ড: ইউএসপি, ইপি
	
দ্রবণীয়তা: ≥100 (25 ℃, জি/100 এমএল)
	
ভারী ধাতু: ≤0.0025%
	
শর্করা হ্রাস: ≤0.05%
	
	
সালফোবিউটিলথের-সাইক্লোডেক্সট্রিন ফার্মাসিউটিক্যাল এক্সপিয়েন্ট কেবল ড্রাগের দ্রবণীয়তা বাড়িয়ে তুলতে পারে না, ওষুধের স্থিতিশীলতা এবং সুরক্ষা উন্নত করতে পারে, এটি প্রশাসনের ইনজেকশন সাইটে উদ্দীপনা হ্রাস করতে পারে, ড্রাগ দ্রুত প্রয়োজনীয় রক্তের ঘনত্বের কাছে পৌঁছায়, ওষুধের ক্রিয়াকলাপের সময়কে দীর্ঘায়িত করে।
	
ইন্ট্রেনাসাল ড্রাগ দ্রুত শোষণ, দ্রুত অভিনয়, উচ্চ জৈব উপলভ্যতা, সুবিধাজনক প্রশাসন, রোগীদের দ্বারা গ্রহণযোগ্য সহজ এবং লিভারের প্রথম পাসের প্রভাব এবং অন্যান্য সুবিধাগুলি এড়াতে পারে, ফার্মাসিউটিক্যাল গবেষণার অন্যতম হটস্পট হয়ে উঠেছে। যাইহোক, অনুনাসিক ওষুধের কম অনুপ্রবেশের কারণে, অনুনাসিক গহ্বরের অনেকগুলি এনজাইম অবক্ষয় এবং অনুনাসিক আনুগত্যের কারণ হতে পারে।
	
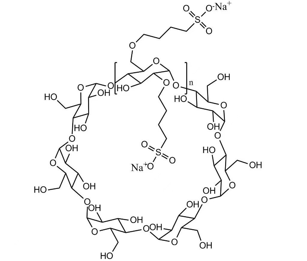
সালফোবিউটিলথের-সাইক্লোডেক্সট্রিন ফার্মাসিউটিক্যাল এক্সপিয়েন্ট একটি সোডিয়াম লবণ উত্পাদিত হয় যখন বেটাডেক্স ক্ষারীয় অবস্থার অধীনে 1,4-বুটেনসালফোনিক অ্যাসিড ল্যাকটোন দ্বারা অ্যালক্লেটেড হয়। এটি একটি অ্যানিয়ন, অত্যন্ত জল দ্রবণীয় বেটাডেক্স ডেরাইভেটিভ। সালফোবিউটিলথের-সাইক্লোডেক্সট্রিন ফার্মাসিউটিক্যাল এক্সপিয়েন্ট ড্রাগের অণুগুলির সাথে ভালভাবে একত্রিত হতে পারে যার ফলে অ-সমবায় গঠিত হয় যার ফলে ওষুধের স্থিতিশীলতা, জলের দ্রবণীয়তা এবং সুরক্ষা বৃদ্ধি করা যায়, এর রেনাল বিষাক্ততা হ্রাস করে, ড্রাগের হিমোলাইসিস কমিয়ে দেওয়া, ড্রাগ রিলিজের হার নিয়ন্ত্রণ করা, খারাপ গন্ধ covering েকে রাখা ইত্যাদি
	
	
	 
 
	
শি'আন ডেলি বায়োকেমিক্যাল ইন্ডাস্ট্রি কোং, লিমিটেড। সাইক্লোডেক্সট্রিন এবং এর ডেরাইভেটিভসের গবেষণা ও বিকাশ, উত্পাদন ও বিক্রয় ক্ষেত্রে বিশেষজ্ঞ একটি উচ্চ প্রযুক্তির এন্টারপ্রাইজ।
27 আগস্ট, 1999-এ প্রতিষ্ঠার পর থেকে, সংস্থাটি "আনুষাঙ্গিকগুলিতে মনোনিবেশ করা, গুণমানের প্রথম, আন্তরিক পরিষেবা, প্রথম শ্রেণির জন্য প্রচেষ্টা করা" এর গুণগত নীতি মেনে চলেছে। 20 বছরেরও বেশি কঠোর পরিশ্রম এবং বিকাশের পরে, সংস্থার বর্তমানে পণ্যগুলি ডেলি ব্র্যান্ড হাইড্রোক্সপ্রোপাইল বেটাডেক্স, ডেলি ব্র্যান্ড বেটাডেক্স সালফোবুটিয়েল ইথার সোডিয়াম রয়েছে। উপরের পণ্যগুলি নিবন্ধিত এবং এফডিএতে ফাইল করা হয়েছে।
	
	 
	
 বেটাডেক্স সালফোবুটিল ইথার সোডিয়াম সিএএস নং 182410-00-0
বেটাডেক্স সালফোবুটিল ইথার সোডিয়াম সিএএস নং 182410-00-0 সালফোবুটিয়েল ইথার বিটা সাইক্লোডেক্সট্রিন সোডিয়াম
সালফোবুটিয়েল ইথার বিটা সাইক্লোডেক্সট্রিন সোডিয়াম বেটাডেক্স সালফোবুটিয়েল ইথার সোডিয়াম ইনজেকশন গ্রেড
বেটাডেক্স সালফোবুটিয়েল ইথার সোডিয়াম ইনজেকশন গ্রেড ডিএমএফ বেটাডেক্স সালফোবুটিয়েল ইথার সোডিয়াম ইউএসপি ইপি
ডিএমএফ বেটাডেক্স সালফোবুটিয়েল ইথার সোডিয়াম ইউএসপি ইপি বেটাডেক্স সালফোবুটিল ইথার সোডিয়াম সিএএস 182410-00-0
বেটাডেক্স সালফোবুটিল ইথার সোডিয়াম সিএএস 182410-00-0 ডিএমএফ বেটাডেক্স সালফোবুটিয়েল ইথার সোডিয়াম 182410-00-0
ডিএমএফ বেটাডেক্স সালফোবুটিয়েল ইথার সোডিয়াম 182410-00-0