শিল্প সংবাদ

দ্রবণীয়তা এবং স্থিতিশীলতা বৃদ্ধির জন্য সাইক্লোডেক্সট্রিন-ভিত্তিক সমাধান

দ্রবণীয়তা এবং স্থিতিশীলতা বৃদ্ধির জন্য সাইক্লোডেক্সট্রিন-ভিত্তিক সমাধান

হাইড্রক্সিপ্রোপাইল বিটাডেক্স এবং বিটাডেক্স সালফোবুটিল ইথার সোডিয়ামের প্রযুক্তিগত ওভারভিউ

সাইক্লোডেক্সট্রিনগুলি দুর্বলভাবে দ্রবণীয় বা রাসায়নিকভাবে সংবেদনশীল যৌগগুলির দ্রবণীয়তা এবং স্থিতিশীলতা উন্নত করার ক্ষমতার জন্য ব্যাপকভাবে স্বীকৃত। তাদের অনন্য চক্রীয় আণবিক কাঠামোর কারণে, সাইক্লোডেক্সট্রিন এবং তাদের ডেরিভেটিভগুলি ফার্মাসিউটিক্যাল, রাসায়নিক এবং সম্পর্কিত ফর্মুলেশন ক্ষেত্রগুলিতে গুরুত্বপূর্ণ কার্যকরী সহায়ক হয়ে উঠেছে। ক্রমবর্ধমান প্রযুক্তিগত এবং নিয়ন্ত্রক প্রয়োজনীয়তার প্রতিক্রিয়া হিসাবে, জিয়ান ডেলি বায়োকেমিক্যাল তার মূল সাইক্লোডেক্সট্রিন ডেরিভেটিভগুলির জন্য প্রযুক্তিগত ডকুমেন্টেশন এবং পণ্য সমর্থনকে আরও পরিমার্জিত করেছে:হাইড্রোক্সিপ্রোপাইল বিটাডেক্স (এইচপিবিসিডি) এবং বিটাডেক্স সালফোবুটিল ইথার সোডিয়াম (এসবিইসিডি)।


সাইক্লোডেক্সট্রিনসের কাঠামোগত বৈশিষ্ট্য এবং কার্যকরী কর্মক্ষমতা

সাইক্লোডেক্সট্রিন হল সাইক্লিক অলিগোস্যাকারাইড যা α-1,4 গ্লাইকোসিডিক বন্ড দ্বারা সংযুক্ত গ্লুকোজ ইউনিট দ্বারা গঠিত। তাদের আণবিক স্থাপত্যটিতে একটি হাইড্রোফিলিক বাইরের পৃষ্ঠ এবং একটি তুলনামূলকভাবে হাইড্রোফোবিক অভ্যন্তরীণ গহ্বর রয়েছে, যা অতিথি অণুগুলির বিস্তৃত পরিসরের সাথে অন্তর্ভুক্তি কমপ্লেক্স গঠন করতে সক্ষম করে। সাইক্লোডেক্সট্রিন কাঠামোর রাসায়নিক পরিবর্তন উল্লেখযোগ্যভাবে জলীয় দ্রবণীয়তা এবং প্রয়োগের বহুমুখিতাকে বিস্তৃত করতে পারে।


হাইড্রক্সিপ্রোপাইল বিটাডেক্স (এইচপিবিসিডি)


হাইড্রক্সিপ্রোপাইল বিটাডেক্স হল একটি রাসায়নিকভাবে পরিবর্তিত β-সাইক্লোডেক্সট্রিন যা নেটিভ সাইক্লোডেক্সট্রিনের সীমিত দ্রবণীয়তা কাটিয়ে ওঠার জন্য ডিজাইন করা হয়েছে। এর বর্ধিত জলের দ্রবণীয়তা এবং অনুকূল সামঞ্জস্যতা HPBCD কে বিভিন্ন সিস্টেমে কার্যকর দ্রবণীয়করণ, স্থিতিশীলতা এবং ফর্মুলেশন নমনীয়তার প্রয়োজন অ্যাপ্লিকেশনগুলির জন্য উপযুক্ত করে তোলে।


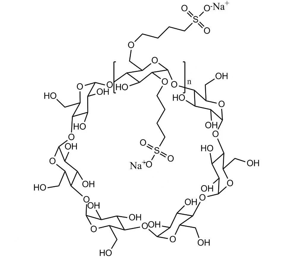
বিটাডেক্স সালফোবিউটাইল ইথার সোডিয়াম (এসবিইসিডি)


বিটাডেক্স সালফোবুটিল ইথার সোডিয়াম হল একটি অ্যানিওনিক সাইক্লোডেক্সট্রিন ডেরিভেটিভ যা সালফোবিটিল ইথার বিকল্প দ্বারা চিহ্নিত করা হয়। এই কাঠামোটি নির্দিষ্ট যৌগগুলির সাথে ইলেক্ট্রোস্ট্যাটিক মিথস্ক্রিয়াকে উন্নত করে, উন্নত দ্রবণীয়তা, জটিল স্থায়িত্ব এবং আরও চাহিদাযুক্ত অ্যাপ্লিকেশনগুলিতে গঠনের দৃঢ়তা সমর্থন করে।

মানসম্মত পণ্য তথ্য এবং প্রযুক্তিগত সহায়তা

প্রণয়ন উন্নয়ন, গুণমান মূল্যায়ন, এবং সংগ্রহ প্রক্রিয়াকে আরও ভালভাবে সমর্থন করার জন্য, জিয়ান ডেলি বায়োকেমিক্যাল HPBCD এবং SBECD-এর জন্য পণ্যের তথ্য পদ্ধতিগতভাবে আপডেট করেছে, যার মধ্যে রয়েছে:


  • স্পষ্টভাবে সংজ্ঞায়িত এবং প্রমিত পণ্যের স্পেসিফিকেশন এবং বিশ্লেষণাত্মক পরামিতি
  • ব্যাচ-নির্দিষ্ট সার্টিফিকেট অফ অ্যানালাইসিস (COA) ট্রেসেবিলিটি এবং গুণমান যাচাই নিশ্চিত করতে
  • সম্প্রসারিত প্রযুক্তিগত FAQ গুলি হ্যান্ডলিং, সঞ্চয়স্থান, এবং সাধারণ অ্যাপ্লিকেশন বিবেচনা সম্বোধন করে
  • দক্ষ প্রযুক্তিগত পর্যালোচনা এবং নির্বাচনের সুবিধার্থে ডিজাইন করা অপ্টিমাইজ করা পণ্যের সারাংশ


এই উন্নতিগুলি স্বচ্ছতা বাড়াতে, মূল্যায়নের সময়সীমা কমাতে এবং সরবরাহ চক্র জুড়ে সামঞ্জস্যপূর্ণ পণ্য কার্যকারিতা সমর্থন করার উদ্দেশ্যে করা হয়েছে।


উত্পাদন অভিজ্ঞতা এবং গুণমানের নিশ্চয়তা

1999 সালে প্রতিষ্ঠিত, জিয়ান ডেলি বায়োকেমিক্যাল সাইক্লোডেক্সট্রিন ডেরিভেটিভস তৈরিতে 26 বছরের অভিজ্ঞতা নিয়ে আসে। কোম্পানী হাইড্রোক্সিপ্রোপাইল বিটাডেক্স এবং বিটাডেক্স সালফোবুটাইল ইথার সোডিয়ামের নিয়ন্ত্রিত উৎপাদনের উপর দৃষ্টি নিবদ্ধ করে, প্রক্রিয়ার ধারাবাহিকতা, ব্যাচ-টু-ব্যাচ নির্ভরযোগ্যতা এবং দীর্ঘমেয়াদী সরবরাহের স্থিতিশীলতার উপর জোর দেয়। কাঠামোগত মান ব্যবস্থাপনা অনুশীলন গ্রাহকদের প্রযুক্তিগত, নিয়ন্ত্রক এবং সোর্সিং প্রয়োজনীয়তা সমর্থন করে।


আবেদনের সুযোগ এবং প্রযুক্তিগত সহযোগিতা

সাইক্লোডেক্সট্রিন অন্তর্ভুক্তি এবং স্থিতিশীলকরণ প্রক্রিয়ার উপর ভিত্তি করে, HPBCD এবং SBECD ফার্মাসিউটিক্যাল-সম্পর্কিত ফর্মুলেশন, বিশেষ রাসায়নিক, পশুচিকিত্সা পণ্য এবং উন্নত দ্রবণীয়তা এবং স্থিতিশীলতার প্রয়োজন অন্যান্য সিস্টেম সহ একাধিক প্রযুক্তিগত ক্ষেত্রে প্রযোজ্য। Xi'an Deli Biochemical বিকশিত ফর্মুলেশন চাহিদা সমর্থন করার জন্য অ্যাপ্লিকেশন-কেন্দ্রিক যোগাযোগ এবং প্রযুক্তিগত সহযোগিতার মাধ্যমে অংশীদারদের সাথে জড়িত থাকা অব্যাহত রেখেছে।


জিয়ান ডেলি বায়োকেমিক্যাল ইন্ডাস্ট্রি কোম্পানি সম্পর্কে

1999 সালে প্রতিষ্ঠিত, জিয়ান ডেলি বায়োকেমিক্যাল ইন্ডাস্ট্রি কোম্পানিগুলি সাইক্লোডেক্সট্রিন ডেরিভেটিভের একটি বিশেষ প্রস্তুতকারক, যা বিশ্বব্যাপী গ্রাহকদের কাছে হাইড্রোক্সাইপ্রোপাইল বিটাডেক্স (HPBCD) এবং বিটাডেক্স সালফোবুটিল ইথার সোডিয়াম (SBECD) সরবরাহ করে। পণ্যের ধারাবাহিকতা, স্পষ্ট বৈশিষ্ট্য এবং ব্যবহারিক প্রযুক্তিগত সহায়তার উপর দীর্ঘস্থায়ী ফোকাস সহ, কোম্পানি নির্ভরযোগ্য সাইক্লোডেক্সট্রিন-ভিত্তিক সমাধান প্রদানের জন্য প্রতিশ্রুতিবদ্ধ।


আপনি যদি চান, আমিও করতে পারি:


  • গুগল এসইওর জন্য এটিকে আরও অপ্টিমাইজ করুন (প্রযুক্তিগত টোন হ্রাস না করে)
  • এটিকে একটি পণ্য-পৃষ্ঠা "প্রযুক্তিগত আপডেট" সংস্করণে ঘনীভূত করুন
  • নিয়ন্ত্রক / গুণমান-কেন্দ্রিক গ্রাহকদের জন্য এটি মানিয়ে নিন


আপনি এটি প্রকাশ করার পরিকল্পনা কোথায় তা আমাকে বলুন।


অনুসন্ধান পাঠান


icon
X
আমরা আপনাকে একটি ভাল ব্রাউজিং অভিজ্ঞতা দিতে, সাইটের ট্র্যাফিক বিশ্লেষণ করতে এবং সামগ্রী ব্যক্তিগতকৃত করতে কুকিজ ব্যবহার করি। এই সাইটটি ব্যবহার করে, আপনি আমাদের কুকিজ ব্যবহারে সম্মত হন। গোপনীয়তা নীতি
প্রত্যাখ্যান করুন গ্রহণ করুন